BUAA|概统复习¶
一些资料
01 随机试验的概率¶
随机试验¶
随机试验 (\(E\)):
- 可在相同的条件下重复进行
- 能事先明确试验的所有可能结果
- 试验之前,不能确定哪一结果会出现
样本空间 (\(S\)): 随机试验 \(E\) 所有可能的结果组成的集合
样本点: \(E\) 的每个结果
随机事件 (\(A\)): 样本空间 \(S\) 的子集
条件概率与乘法公式¶
条件概率: 在事件 \(A\) 发生的条件下事件 \(B\) 发生的概率
变形得乘法公式:
全概率公式与贝叶斯公式¶
贝叶斯公式:
把 \(B\) 视作原因,\(A\) 视作结果,已知原因 \(\rightarrow\) 结果。我们现在假设结果发生,想知道哪个因素导致的 \(A\) 发生
独立性¶
当事件 \(A\) 的发生不影响事件 \(B\) 发生的概率时,则事件 \(A\) 和事件 \(B\) 独立,此时有 \(P(B|A) = P(B)\), 进而 \(P(AB) = P(A)P(B)\)
三事件相互独立需同时满足:
02 随机变量的分布¶
随机变量¶
设随机试验 \(E\) 的样本空间为 \(S=\{e_1, e_2, ...\}\),对每一个 \(e \in S\),都有唯一的一个实数 \(X(e)\) 与之对应,则称 \(X = X(e)\) 为随机变量,简记为 \(X\)
随机事件的概率问题就转化为随机变量取值的概率问题
分布函数: \(F(x) = P(X \leqslant x), -\infty < x < +\infty\)
- 范围: \(0 \leqslant F(x) \leqslant 1\) 且 \(\lim\limits_{x\rightarrow+\infty} F(x) = 1, \lim\limits_{x\rightarrow-\infty} F(x) = 0\)
- 单调不减: \(x_1 < x_2 \Rightarrow F(x_1) \leqslant F(x_2)\)
- 右连续: \(F(x+0) = F(x)\)
具备上述三个性质的函数 \(F(x)\) 都可以是某一随机变量的分布函数
分布律: \(p(x)\)
离散型随机变量的分布
两点分布/01分布¶
二项分布¶
\(n\) 次试验,事件 \(A\) 出现 \(k\) 次的概率
称 \(X\) 服从参数为 \(n,p\) 的二项分布,\(X \sim B(n,p)\)
泊松定理: 当 \(n\) 较大,\(p\) 较小,\(\lambda = np\) 适中,有近似公式:
Poisson分布¶
\(P(X=k) = e^{-\lambda}\frac{\lambda ^k}{k!}\),则 \(X \sim \Pi(\lambda)\) (或记为 \(X \sim P(\lambda)\))
连续型随机变量的分布
均匀分布¶
\(X \sim U(a, b)\)
指数分布¶
\(X \sim E(\lambda)\)
高斯分布/正态分布¶
\(X \sim N(\mu, \sigma^2)\)
标准正态分布 \(N(0,1)\): \(\varphi (x) = \frac{1}{\sqrt{2\pi}}e^{-\frac{x^2}{2}}, -\infty < x < +\infty\), 分布函数记为 \(\phi(x)\)
一般正态分布 \(N(\mu, \sigma^2)\) 的分布函数 \(F(x) = \phi(\frac{x-\mu}{\sigma})\)
随机变量的函数¶
已知 \(X\) 的概率密度 \(f_{X}(x)\),求 \(Y=g(X)\) 的概率密度?
求分布函数 \(F_{Y}(y) \Rightarrow\) 求导得概率密度 \(f_{Y}(y)\)
03 二维随机变量¶
分布函数¶
分布函数: \(F(x,y) = P(X \leqslant x, Y \leqslant y)\)
二维离散型有联合分布律: \(P(X = x_i, Y = y_i) = p_{ij}\)
二维连续型有联合密度函数: \(f(x,y)\), 满足 \(F(x,y) = \int_{-\infty}^{x}\int_{-\infty}^{y}f(u,v) \mathrm{d}u\mathrm{d}v\)
常见连续型分布¶
均匀分布:
\(A\) 为区域 \(G\) 的面积,\((X,Y) \sim U(G)\)
二维正态分布:
\((X,Y) \sim N(\mu_1, \sigma_1^2, \mu_2, \sigma_2^2, \rho)\)
性质:
- 两个边缘分布为正态分布,\(X \sim N(\mu_1, \sigma_1^2)\)
- \(X,Y\) 的线性组合仍服从正态分布
边缘分布函数¶
\(F_X(x) = P(X \leqslant x) = F(x, +\infty)\)
\(F_Y(y) = P(Y \leqslant y) = F(+\infty, y)\)
离散型有边缘分布律: 各行或列相加
连续型有边缘密度函数: \(f_X(x) = \int_{-\infty}^{+\infty}f(x,v)\mathrm{d}v\)
条件分布律 (离散)¶
在 \(X = x_i\) 的条件下,\(Y\) 的条件分布律: \(P(Y=y_j|X=x_i)=\frac{P(X=x_i,Y=y_j)}{P(X=x_i)} = \frac{p_{ij}}{p_{i.}}\)
条件分布函数 (连续)¶
\(F_{X|Y}(x|y) = P(X \leqslant x | Y = y) = \frac{P(X \leqslant x, Y=y)}{P(Y=y)} = \frac{0}{0}\)
(因为体积为 0)
推导得: \(P(X \leqslant x | y < Y \leqslant y + \varepsilon)=\int_{-\infty}^{x}\frac{f(x,y)}{f_Y(y)}\mathrm{d}x\)
\(\frac{f(x,y)}{f_Y(y)}\) 为在 \(Y=y\) 条件下 \(X\) 的条件概率密度,记为 \(f_{X|Y}(x|y)=\frac{f(x,y)}{f_Y(y)}\)
独立性¶
将事件的独立性推广到随机变量
定义 若 \(P(X \leqslant x, Y \leqslant y) = P(X \leqslant x) P(Y \leqslant y)\) 对任意 \(x,y\) 都成立,则称随机变量 \(X,Y\) 独立
由定义得出: \((X,Y)\) 独立 \(\iff\) \(F(x,y) =F_X(x)F_Y(y) \iff P(a < X \leqslant b,c < Y \leqslant d)=P(a < X \leqslant b)P(c < Y \leqslant d)\)
离散型 \((X,Y)\) 相互独立 \(\iff P(X=x_i,Y=y_j)=P(X=x_i)P(Y=y_j)\) (由第二个等价式推得)
连续型 \((X,Y)\) 相互独立 \(\iff f(x,y) = f_X(x)f_Y(y)\)
04 随机变量的数字特征¶
数学期望¶
离散: \(E(X) = \sum\limits_{k=1}^{+\infty}x_k p_k\)
连续: \(E(X) = \int_{-\infty}^{+\infty}xf(x)\mathrm{d}x\)
常见分布的期望:
-
\(X \sim B(n,p) \Rightarrow E(X) = np\)
-
\(X \sim \Pi(\lambda) \Rightarrow E(X) = \lambda\) (泊松分布)
-
\(X \sim E(\lambda) \Rightarrow E(X) = \frac{1}{\lambda}\) (指数分布)
-
\(X \sim N(\mu,\sigma^2) \Rightarrow E(X) = \mu\)
若 \(Y=g(X)\),则 \(E(Y) = \int_{-\infty}^{+\infty}g(x)f(x)\mathrm{d}x\)
性质:
- \(E(X+Y) = E(X) + E(Y)\)
- 当 \(X,Y\) 相互独立时,\(E(XY) = E(X) E(Y)\)🌟
方差¶
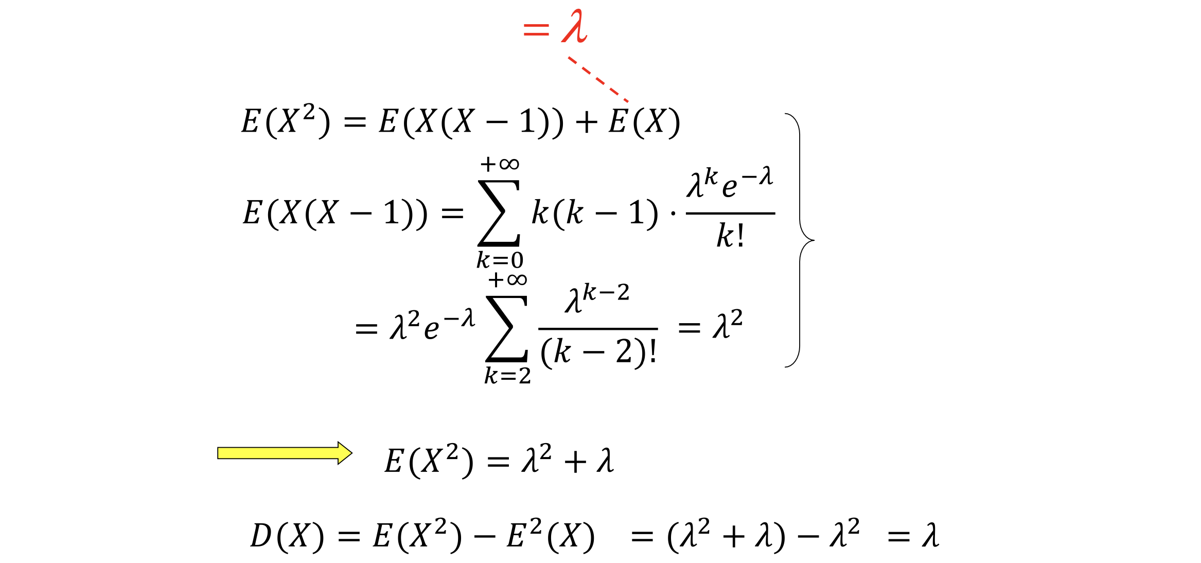
随机变量 \(X\) 的方差: \(D(X) = E((X-E(X))^2)\)
方差公式: \(D(X) = E(X^2) - E^2(X)\)
泊松分布的方差: \(X \sim P(\lambda), D(X) = \lambda\)
正态分布的方差: \(X \sim N(\mu, \sigma^2), D(X)=\sigma^2\)
性质:
- \(D(aX) = a^2D(X)\)
- \(D(X \pm Y) = D(X) + D(Y) \pm 2E((X-E(X))(Y-E(Y)))=D(X) + D(Y) \pm 2(E(XY)-E(X)E(Y))\)
协方差¶
期望和方差反映随机变量自身的数字特征,协方差和相关系数描述随机变量之间的相关关系
\(Cov(X,Y) = E((X-E(X))(Y-E(Y))) = E(XY) - E(X)E(Y)\)
相关系数¶
\(\rho _{XY} = E(\frac{X-E(X)}{\sqrt{D(X)}}.\frac{Y-E(Y)}{\sqrt{D(Y)}}) = \frac{Cov(X,Y)}{\sqrt{D(X)}\sqrt{D(Y)}}\)
若 \(\rho_{XY} = 0\),称 \(X,Y\) 不相关
\(\rho_{XY} = 0 \iff X, Y\) 不相关 \(\iff Cov(X,Y) = 0 \iff E(XY) = E(X)E(Y)\)
独立性与相关性¶
\(E(XY) = E(X) E(Y) \Rightarrow Cov(X,Y)=0 \Rightarrow \rho_{XY} = 0 \Rightarrow X, Y\) 不相关
独立 \(\Rightarrow\) 不相关
若 \(X , Y\) 服从二维正态分布,则 \(X,Y\) 相互独立 \(\iff\) \(X,Y\) 不相关
05 大数定律和中心极限定理¶
一定条件下,\(Y_n\sim B(n,p)\) 可近似为 \(Y_n \sim N(np, np(1-p))\)
06 样本及抽样分布¶
总体与样本¶
从总体 \(X\) 中,随机抽取 \(n\) 个个体,得到样本 \((X_1, X_2, \cdots, X_n)\),每个样本的分布与 \(X\) 同,记 \((x_1, x_2, \cdots, x_n)\) 为样本值
统计量¶
设 \((X_1, X_2, \cdots, X_n)\) 是取自总体的一个样本,\(g(r_1, r_2, \cdots,r_n)\) 为一不含参数的连续实值函数,则称随机变量 \(g(X_1, X_2, \cdots, X_n)\) 为统计量
常用统计量:
- 样本均值: \(\bar{X} = \frac{1}{n}\sum\limits_{i=1}^{n}X_i\)
- 样本方差: \(S^2 =\frac{1}{n-1}\sum\limits_{i=1}^{n}(X_i-\bar{X})^2\)
- \(k\) 阶原点矩: \(A_k = \frac{1}{n}\sum\limits_{i=1}^{n}X_i^k\)
- \(k\) 阶中心矩: \(B_k =\frac{1}{n}\sum\limits_{i=1}^{n}(X_i-\bar{X})^k\)
- 二阶中心矩: \(S_n^2=\frac{1}{n}\sum\limits_{i=1}^{n}(X_i-\bar{X})^2\)
可以证明: \(E(S) = \sigma^2\)
Note
若总体服从正态分布 \(N(\mu, \sigma^2)\),则样本均值 \(\bar{X}\) 服从正态分布 \(N(\mu, \frac{\sigma^2}{n})\)
\(\chi^2(n)\) 分布¶
设 \((X_1, X_2, \cdots, X_n)\) 相互独立,且 \(X_i \sim N(0,1)\),则称统计量 \(\chi^2 = X_1^2 + X_2^2 + \cdots + X_n^2\) 服从自由度为 \(n\) 的 \(\chi^2(n)\) 分布,即 \(\chi^2 \sim \chi^2(n)\)
- \(E(\chi^2) = n, D(\chi^2) = 2n\)
- 若 \(X_1 \sim \chi^2(n_1),X_2 \sim \chi^2(n_2)\),\(X_1,X_2\) 相互独立,则 \(X_1 + X_2 \sim \chi^2(n_1 + n_2)\)
- \(\chi^2(n)\) 的 \(\alpha\) 分位数有表可查
\(T\) 分布¶
设 \(X \sim N(0,1),Y \sim \chi^2(n)\),\(X,Y\) 相互独立,则 \(T = \frac{X}{\sqrt{Y/n}}\) 服从自由度为 \(n\) 的 \(T\) 分布
- \(f_n(t)\) 是偶函数
- \(n \rightarrow \infty\),\(f_n(t)\) 曲线趋于标准正态分布密度曲线
\(F\) 分布¶
设 \(X \sim \chi^2(n),Y \sim \chi^2(m)\),\(X,Y\) 相互独立,则 \(F = \frac{X/n}{Y/m}\) 服从第一自由度为 \(n\),第二自由度为 \(m\) 的 \(F\) 分布,即 \(F \sim F(n,m)\)
- 若 \(F \sim F(n,m)\),则 \(\frac{1}{F} \sim F(m,n)\)
- \(F_{1-\alpha}(n,m) = \frac{1}{F_{\alpha}(m,n)}\)
抽样分布¶
设 \(X_1, X_2, \cdots, X_n\) 是来自总体 \(N(\mu,\sigma^2)\) 的样本,则:
- \(\frac{(n-1)S^2}{\sigma^2} \sim \chi^2(n-1)\) 🌟
- \(\bar{X}\) 与 \(S^2\) 相独立
- \(\frac{\bar{X}-\mu}{S/\sqrt{n}}\sim t(n-1)\) (由1推)
ps. \(\frac{\bar{X}-\mu}{\sigma / \sqrt{n}} \sim N(0,1)\)
设 \(X_1, X_2, \cdots, X_{n_1}\) 和 \(Y_1, Y_2, \cdots, Y_{n_2}\) 分别是来自正态总体 \(N(\mu_1,\sigma_1^2)\) 和 \(N(\mu_2, \sigma_2^2)\) 的样本,且两个样本相互独立,则:
07 参数估计¶
\(X\) 的分布函数已知,但参数未知 \(\Rightarrow\) 通过样本来估计
矩估计法 (点估计)¶
\(\frac{1}{n}\sum\limits_{i=1}^{n}X_i = \hat{E}(X) \rightarrow E(X)\)
\(\frac{1}{n}\sum\limits_{i=1}^{n}X_i^2 = \hat{E}(X^2) \rightarrow E(X^2)\)
用的是原点矩。我们已知左边的量,以此估计右边。
例题: 设总体 \(X \sim E(\lambda)\),\(X_1, X_2, \cdots, X_n\) 为总体的样本,求 \(\lambda\) 的矩法估计量
解: \(E(X)=\frac{1}{\lambda} \rightarrow \hat{E}(X) = \frac{1}{\hat{\lambda}} = \bar{X} \rightarrow \hat{\lambda} = \frac{1}{\bar{X}}\)
极大似然法 (点估计)¶
箱子1: 99白,1红;箱子2: 99红,1白。取一次,得白球,问: 从哪箱取的?
\(P(X = x) = f(x,\theta)\)
\(P(X_1 = x_1, X_2 = x_2, \cdots X_n = x_n) = f(x_1, \theta)f(x_2, \theta)\cdots f(x_n,\theta) = L(x_1,x_2,\cdots, \theta) = L(\theta)\)
\(L(\theta)\) 称为似然函数,取 \(\theta\) 使得 \(L(\theta)\) 取到极大值
例题: 总体 \(X\) 服从 0-1 分布,且 \(P(X=1) =p\),估计 \(p\) 的值?
解:
现求 \(p\) 使得 \(L(p)\) 取到最大值
极大似然估计值不变性原理: \(\hat{\theta}\) 是 \(\theta\) 的极大似然估计值,则 \(\mu(\hat{\theta})\) 是 \(\mu(\theta)\) 的极大似然估计值
点估计的评价标准¶
无偏性: 设\((X_1, X_2, \cdots, X_n)\) 是总体 \(X\) 的样本,\(\hat{\theta}=\hat{\theta}(X_1,X_2, \cdots, X_n)\) 是 \(\theta\) 的估计量,若 \(E(\hat{\theta}) = \theta\),则 \(\hat{\theta}\) 是无偏估计量
例如:
- 样本均值 \(\bar{X}\) 是总体期望 \(E(X)\) 的无偏估计量
- 样本二阶原点矩 \(A_2 = \frac{1}{n}\sum\limits_{i=1}^nX_i^2\) 是总体二阶原点矩 \(\mu_2 = E(X^2)\) 的无偏估计量
- 样本方差 \(S^2 =\frac{1}{n-1}\sum\limits_{i=1}^{n}(X_i - \bar{X})^2\) 是 \(D(X)\) 的无偏估计量
有效性: 设 \(\hat{\theta_1} = \theta_1(X_1,X_2,\cdots,X_n)\) 和 \(\hat{\theta_2} = \theta_2(X_1,X_2,\cdots,X_n)\) 都是总体参数 \(\theta\) 的无偏估计量,且 \(D(\hat{\theta_1}) < D(\hat{\theta_2})\),则称 \(\hat{\theta_1}\) 比 \(\hat{\theta_2}\) 更有效
一致性/相合性:
先算 \(P(|\hat{\theta}-\theta|<\varepsilon)\),再取极限
区间估计¶
见笔记置信区间,关键在于构建统计量
正态总体 \(X \sim N(\mu, \sigma^2)\)
\(\sigma^2\) 已知,\(\mu\) 的置信区间: \(\frac{\bar{X}-\mu}{\sigma/\sqrt{n}}\sim N(0,1)\)
\(\sigma^2\) 未知,\(\mu\) 的置信区间: \(T = \frac{\bar{X}-\mu}{S/\sqrt{n}} \sim t(n-1)\)
\(\mu\) 已知,\(\sigma^2\) 的置信区间: \(Q = \sum\limits_{i=1}^{n}(\frac{X_i-\mu}{\sigma})^2 \sim \chi^2(n)\)
\(\mu\) 未知,\(\sigma^2\) 的置信区间: \(K = \frac{(n-1)S^2}{\sigma^2}\sim \chi^2(n-1)\)
单侧置信区间¶
由样本 \(X_1, X_2, \cdots, X_n\) 确定的统计量 \(\underline{\theta}\) ,对于任何 \(\theta \in \Theta\) 满足 \(P\{\theta > \underline{\theta}\} \geqslant 1 - \alpha\),则称随机区间 \((\underline{\theta}, +\infty)\) 是 \(\theta\) 的置信水平为 \(1-\alpha\) 的单侧置信区间,\(\underline{\theta}\) 称为单侧置信下限
08 假设检验¶
思想: 先对总体的参数提出假设值,再用样本的数据去验证这个假设
注意: 左边检验是 \(H_1: \theta < \theta_0\)
见笔记本📒🧡
显著性水平¶
在给定 \(\alpha\) 的前提下,接受还是拒绝原假设完全取决于 样本值,因此所作检验可能导致以下两类错误的产生:
犯第一类错误的概率 \(P(拒绝 H_0|H_0为真) = \alpha\)
备择假设往往顺着题面,比如: 原来的均值是 \(\mu_0\),现在有了新工艺,取到的样本均值为 \(\bar{X}\),新工艺水平是否提高了?我们的原假设是 \(H_0: \mu = \mu_0\),备择假设 \(H_1: \mu > \mu_0\)
通常把有经验的结论作为原假设,尽量让错误为第一类错误。把可能性小的作为备择假设
比如:
- 不得低于,字面上说明 \(\mu \geqslant \mu_0\) 的概率大些,所以 \(\mu < \mu_0\) 是小概率事件,所以记 \(H_1: \mu < \mu_0\)
- 是否显著大于 \(\mu_0\),显著感觉可能性会小一点,所以 \(H_1: \mu > \mu_0\)
常用的统计量¶
\(Z\) 检验 / \(U\) 检验: \(Z = \frac{\bar{X}-\mu_0}{\frac{\sigma}{\sqrt{n}}} \sim N(0,1)\)
\(T\) 检验: \(T = \frac{\bar{X}-\mu_0}{S/\sqrt{n}} \sim t(n-1)\)
\(T = \frac{(\bar{X}-\bar{Y})-\delta}{s_w\sqrt{\frac{1}{n_1}+\frac{1}{n_2}}} \sim t(n_1 + n_2 -2)\),\(s_w^2 = \frac{(n_1-1)S_1^2 + (n_2 -1)S_2^2}{n_1 + n_2 -2}\)
\(\chi^2 = \frac{(n-1)S^2}{\sigma_0^2}\sim\chi^2(n-1)\)
\(\chi^2 = \frac{1}{\sigma_0^2}\sum\limits_{i=1}^{n}(x_i-\mu)^2 \sim \chi^2(n)\)
\(F\) 检验: \(\frac{S_1^2/S_2^2}{\sigma_1^2/\sigma_2^2}\sim F(n_1-1,n_2-1)\)
单侧置信区间¶
单侧置信区间的思想是: 我们抛开想验证的 \(\mu_0, \sigma_0^2\) 不谈,假设已知的 \(\bar{X},S^2\) 是符合假设 \(H_0\) 的,求出一个 \(\mu, \sigma^2\) 的区间 (就是置信区间),再看 \(\mu_0,\sigma_0^2\) 在不在这个区间
双边检验的置信区间形式为: \(\underline{\theta}(x_1, x_2, \cdots, x_n) < \theta_0 < \overline{\theta}(x_1, x_2, \cdots, x_n)\)
左边检验问题 \(H_0: \theta \geqslant \theta_0, H_1: \theta < \theta_0\) 的单侧置信区间是 \((-\infty, \overline{\theta}(x_1, x_2, \cdots, x_n))\),当 \(\theta_0 \in (-\infty, \overline{\theta}(x_1, x_2, \cdots, x_n))\) 时接受 \(H_0\)
09 方差分析¶
没弄懂原理🫠
单因素试验¶
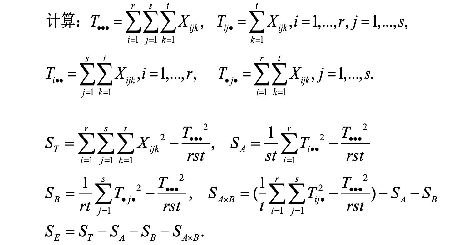
单因素方差分析表:
\(S_E\) 是各个因素样本观察值和样本均值的差异,叫做 误差平方和,\(S_A\) 是样本均值与数据总平均的差异
计算 \(S_A,S_E\):
拒绝域是 \(F \geqslant F_\alpha(s-1, n-s)\)
未知参数的估计:
\(\sigma^2: \hat{\sigma}^2 = \frac{S_E}{n-s}\)
\(\delta_j: \hat{\delta}_j = \bar{X}_{\cdot j}-\bar{X}\)
双因素试验¶
双因素无重复试验¶
不存在交互作用
一元线性回归分析¶
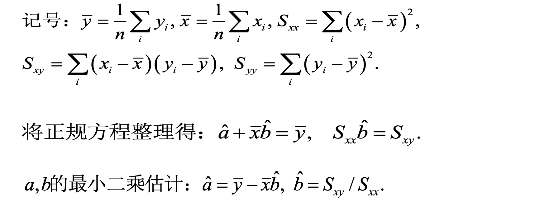
设随机变量 \(Y\) 与 \(x\) 之间存在着某种相关关系,如果 \(Y\) 的数学期望存在,那么其值随 \(x\) 的取值而定,是 \(x\) 的函数,记为 \(\mu(x)\),我们就将讨论 \(Y\) 与 \(x\) 的相关关系的问题转换为讨论 \(E(Y)=\mu(x)\) 与 \(x\) 的函数关系了。那么,现在就想用样本来估计 \(Y\) 关于 \(x\) 的回归函数 \(\mu(x)\)
一元线性回归要解决的问题:
- 估计 \(a,b\)
- 估计 \(\sigma^2\)
- 线性假设的显著性检验
- \(b\) 的置信区间
- 回归函数 \(\mu(x) = a + bx\) 的点估计和置信区间
假设对于 \(x\) 的每一个值有 \(Y \sim N(a + bx, \sigma^2)\),相当于假设 \(Y = a + bx + \varepsilon\),\(\varepsilon \sim N(0, \sigma^2)\)。再用极大似然法求得 \(\hat{a},\hat{b}\)
得到 经验回归方程:
现估计 \(\sigma^2\): \(E\{[Y-(a+bx)]^2\}=E(\varepsilon^2)=D(\varepsilon)+E(\varepsilon)^2 = \sigma^2\),需要利用样本来估计 \(\sigma^2\)。引入残差 \(y_i - \hat{y}_i\),残差平方和 \(Q_e = \sum\limits_{i=1}^{n}(y_i-\hat{y}_i)^2\),且有 \(\frac{Q_e}{\sigma^2} \sim \chi^2(n-2)\)。\(\sigma^2\) 的无偏估计量:
若线性假设符合实际,则 \(b\) 不应该为 \(0\),因此作假设 \(H_0: b=0, H_1: b \neq 0\)
当回归效果显著时,我们要对 \(b\) 作区间估计
10 彩蛋 🍭¶
关于关联与因果:
数据与关联规则挖掘的应用: 给定一系列购物记录,捕捉其中商品共同出现的规律,从而预测其他商品的购买
eg. 啤酒尿布 🍺 (尿布和啤酒经常被一同购买)
“关联”只探讨相关性,现在我们讨论因果性
辛普森悖论: 探究两种变量 (比如录取率与性别) 是否具有相关性时的整体趋势,与按另一个变量 (比如专业) 分组后每组趋势不同甚至相反
原因: 分组变量起到了混杂因素 (confounder) 影响,在本例中,有可能女生很多都选的是录取率低的专业
冰淇凌销量与汽车抛锚率呈正相关 \(\Rightarrow\) 冰淇凌损害发动机? (真实的原因是夏天温度高🍦)























