Pólya计数¶
给可以自由转动的正多边形的顶点着色,计数着色方案
置换群¶
置换群¶
群:
给定集合 \(G\) 和 \(G\) 上的二元运算 \(\cdot\) ,代数结构 \((G,\cdot)\) 为群要满足:
- 封闭性: 对任意 \(a,b \in G\) ,都有 \(a\cdot b \in G\)
- 结合律: 对任意 \(a,b,c\in G\) ,都有 \(a \cdot (b \cdot c) = (a\cdot b) \cdot c\)
- 存在单位元: 存在 \(e\in G\) ,对于任意 \(a\in G\) ,满足 \(e \cdot a = a \cdot e = a\)
- 存在逆元: 对任意 \(a\in G\) ,存在 \(a^{-1} \in G\) ,满足 \(a\cdot a^{-1} = a^{-1}\cdot a = e\)
\(|G|:\) 阶,即有限群 \(G\) 的元素个数
循环群与生成元:
- 在群 \((G, \cdot)\) 中,若存在 \(a\in G\) ,\(G\) 中的任意元素 \(b\) 均能表示成 \(a\) 的幂,则称 \(G\) 为循环群
- \(a\) 为该群的生成元
置换:
设 \(X\) 是有限集,就设为 \(\{1,2,\cdots,n\}\) ,\(X\) 的置换 \(i_1,i_2, \cdots, i_n\) 是 \(X\) 到自身的一对一函数 \(f: X \rightarrow X\) ,其中 \(f(1)=i_1, f(2)=i_2, \cdots, f(n)=i_n\)
\(2 \times n\) 阵列表示置换: $$ \begin{pmatrix} 1 & 2 & \cdots & n \ i_1 & i_2 & \cdots & i_n \ \end{pmatrix} $$
- 置换是函数,可以使用合成运算 \(g \circ f\)
- 记 \(n!\) 个置换构成的集合为 \(S_n\)
- 恒等置换: \(\iota =\begin{pmatrix} 1 & 2 & \cdots & n \\ 1 & 2 & \cdots & n \\ \end{pmatrix}\)
置换群:
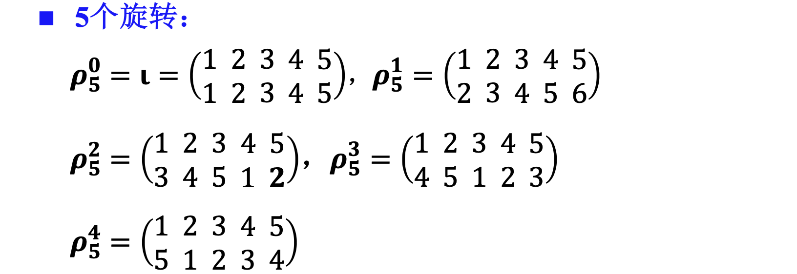
例子: \(\rho_n\) 表示置换:
从而
可以想象为 \(1\) 转到了原来 \(k+1\) 的位置上
得到 \(C_n = \{\rho_n^0=\iota, \rho_n, \rho_n^2,\cdots,\rho_n^{n-1}\}\) 是一个置换群
对称:
定义 设 \(\Omega\) 是一个几何图形,\(\Omega\) 到它自身的一个几何运动 (motion) 或全等 (congruence) 称为 \(\Omega\) 的一个对称(想象成一个框在空间中动)
几何运动包括
- 旋转
- 反射 (即沿轴线翻转,中途离开平面):
- 顶点数为偶: 对角点连线 + 对边中点
- 顶点数为奇: 角点与对边连线
角点对称群: 关注点的位置变化
- 例如五边形的角点对称群:
原来的第一排到了原来的第二排的位置
可以想象为从固定位置开始读现在的点的编号
着色¶
着色:
定义 集合 \(X\) 的一种着色是给 \(X\) 的每个元素指定一种颜色
假设有集合 \(X\) 的置换群 \(G\) ,设
- \(\mathbf{c}\) 是 \(X\) 的一种着色,\(1, 2, \cdots, n\) 的颜色分别记为 \(c(1),c(2),\cdots,c(n)\)
- \(f\) 是 \(G\) 中的一个置换,\(f = \begin{pmatrix} 1 & 2 & \cdots & n \\ i_1 & i_2 & \cdots & i_n \\ \end{pmatrix}\)
定义 \(f \ast \mathbf{c}\) 为使得 \(i_k\) 具有颜色 \(c(k)\) 的着色,即 \((f \ast \mathbf{c})(i_k) = c(k)\) ,即把 \(k\) 的颜色转移给了 \(i_k\)
着色集:
着色集 \(C\) 是 \(X\) 的着色的集合,并且要满足对 \(G\) 中的任意元 \(f\) 和 \(C\) 中任意元 \(\mathbf{c}\) ,\(f \ast \mathbf{c}\) 仍属于 \(C\)
一个相等关系: $$ (g\circ f)\ast \mathbf{c} = g \ast (f \ast \mathbf{c}) $$ 理解: 等式左边是把 \(k\) 的颜色转移到 \((g \circ f)(k)\) 的着色,右边是把 \(k\) 的颜色先转移给 \(f(k)\) 再转移给 \(g(f(k))\)
着色等价:
定义 设 \(\mathbf{c}_1\) 与 \(\mathbf{c}_2\) 是 \(C\) 中的两种着色,如果存在 \(G\) 中的置换,使得
$$
f\ast \mathbf{c}_1 = \mathbf{c}_2
$$
则称 \(\mathbf{c}_1\) 等价于 \(\mathbf{c}_2\) ,记为 \(\mathbf{c}_1 \sim \mathbf{c}_2\)
即存在 \(G\) 中的一个置换,把一个着色送到另一个着色
我们接下来就要计算非等价的着色数
Burnside定理¶
稳定核与不变着色集¶
适当选取 \(f\) 与 \(\mathbf{c}\) ,可使得 \(f \ast \mathbf{c} = \mathbf{c}\)
- 使着色 \(\mathbf{c}\) 保持不变的 \(G\) 中置换的集合: \(G(\mathbf{c}) = \{f: f\in G, f\ast \mathbf{c} = \mathbf{c}\}\)
- 在 \(f\) 作用下使着色 \(\mathbf{c}\) 保持不变的 \(C\) 中着色的集合: \(C(f) = \{\mathbf{c} : \mathbf{c} \in C, f \ast \mathbf{c} = \mathbf{c}\}\)
稳定核:
定义 \(G(\mathbf{c})\) 称为 \(\mathbf{c}\) 的稳定核
定理
\(\mathbf{c}\) 的稳定核 \(G(\mathbf{c})\) 是置换群,而且对 \(G\) 中的任意置换 \(f\) 与 \(g\) ,\(g \ast \mathbf{c} = f \ast \mathbf{c}\) 当且仅当 \(f^{-1} \circ g \in G(\mathbf{c})\)
证明:
- 如果 \(f\) 和 \(g\) 都使 \(\mathbf{c}\) 保持不变,则先 \(f\) 后 \(g\) 也将使 \(\mathbf{c}\) 保持不变,即 \((g \circ f) \ast \mathbf{c} = \mathbf{c}\) ,所以有封闭性;单位元 \(\iota\) ;逆元 \(f^{-1}\) \(\Rightarrow\) 置换群
- \(f \ast \mathbf{c} = g \ast \mathbf{c} \Rightarrow (f^{-1} \circ g) \ast \mathbf{c} = f^{-1} \ast (g \ast \mathbf{c}) = f^{-1} \ast (f \ast \mathbf{c}) = (f^{-1} \circ f) \ast \mathbf{c} = \mathbf{c}\)
- \((f^{-1} \circ g) \ast \mathbf{c} = \mathbf{c} \Rightarrow f^{-1}\ast(g \ast \mathbf{c}) = \mathbf{c} \Rightarrow f \ast f^{-1}\ast(g \ast \mathbf{c}) = f \ast \mathbf{c} \Rightarrow g \ast \mathbf{c} = f \ast \mathbf{c}\)
推论 设 \(\mathbf{c}\) 为 \(C\) 中的一个着色,那么与 \(\mathbf{c}\) 等价的着色数 \(|\{f \ast \mathbf{c}: f\in G\}|\) 等于
$$
\frac{|G|}{|G(\mathbf{c})|}
$$
证明:
设 \(f\) 是 \(G\) 中的置换,那么满足 \(g \ast \mathbf{c} = f \ast \mathbf{c}\) 的置换 \(g\) 实际上就是 \(\{f \circ h : h \in G(\mathbf{c})\}\) 中的那些置换,由消去律,\(f \circ h = f \circ h'\) 可推出 \(h = h'\) ,所以 \(\{f \circ h : h \in G(\mathbf{c})\}\) 中的置换个数等于 \(|G(\mathbf{c})|\)
对每个 \(f\) ,恰好存在 \(|G(\mathbf{c})|\) 个置换,这些置换作用在 \(\mathbf{c}\) 上与 \(f\) 有同样的效果,所以,与 \(\mathbf{c}\) 等价的着色数等于 \(\frac{|G|}{|G(\mathbf{c})|}\)
"等价的着色"肯定互不相同,而且能通过置换变到 \(\mathbf{c}\)
Burnside定理¶
定理 设 \(G\) 是 \(X\) 的置换群,而 \(C\) 是 \(X\) 中的满足后面条件的着色集合: 对于 \(G\) 中所有的 \(f\) 和 \(C\) 中所有的 \(\mathbf{c}\) 都有 \(f \ast \mathbf{c}\) 仍在 \(C\) 中,则 \(C\) 中非等价着色数 \(N(G,C)\) 为
就是在置换中保持不变的着色的平均数
证明
我们计数满足 \(f \ast \mathbf{c} = \mathbf{c}\) 的对偶 \((f,\mathbf{c})\) 的个数
- 方法1: 遍历 \(G\) 中的 \(f\) ,得到 \(\sum\limits_{f \in G}|C(f)|\)
- 方法2: 遍历 \(C\) 中的 \(\mathbf{c}\) ,得到 \(\sum\limits_{\mathbf{c} \in C} |G(\mathbf{c})| = \sum\limits_{\mathbf{c} \in C}\frac{|G|}{与 \mathbf{c} 等价的着色数}\) ,等式右边按照等价类来算,每个等价类的求和是 \(1\),所以总体等于 \(N(G,C) \times |G|\)
- 两个方法计数的结果相同
例题:
用红色、蓝色与绿色对正五边形的顶点进行着色,有多少种非等价方法?
- 恒等置换 \(\iota\) 使 \(3^5 = 243\) 种着色保持不变
- 其他旋转只有当全着一种颜色才能保持着色不变,各 \(3\) 种
- 每个反射使 \(3\times 3 \times 3 = 27\) 种着色保持不变
所以非等价着色数为 \(N(D_5,C) = \frac{1}{10}(243 + 3*4 + 5*27) = 39\)
最复杂是 \(|C(f)|\) 的计算,下一小节我们将引入循环结构,简化计算过程
Pólya计数¶
有向图与循环¶
有向图的构建: 设 \(f\) 是 \(X = \{1,2,\cdots,n\}\) 的一个置换,\(D_f = (X, A_f)\) 是顶点集为 \(X\) 且弧集为 \(A_f = \{(i,f(i)) : i \in X\}\) 的有向图
我们可以发现,这个图是由许多有向圈构成的
例子: \(f = \begin{pmatrix} 1 & 2 & 3 & 4 & 5 & 6 & 7 & 8 \\ 6 & 8 & 5 & 4 & 1 & 3 & 2 & 7 \\ \end{pmatrix}\)
\(D_f\) 划分为这样的有向圈: \(1 \rightarrow 6 \rightarrow 3 \rightarrow 5 \rightarrow 1, 2 \rightarrow 8 \rightarrow 7 \rightarrow 2, 4 \rightarrow 4\)
我们保持其他位置不变,记
像这样的,一个置换中某些元素以循环的方式置换且余下的元素保持不变,则称这样的置换为 循环置换 / 循环 。循环中的元素为 k,则称循环为 k循环 。例如 [1 6 3 5] 是一个4循环
我们称此式为 \(f\) 的 循环因子分解
记置换 \(f\) 的循环分解中的循环个数为 \(\# (f)\)
着色¶
我们可以发现,颜色只会在每个循环内部进行转移,所以只要保证循环的颜色一样就能满足 \(f * \mathbf{c} = \mathbf{c}\)
定理 设 \(f\) 是集合 \(X\) 的置换,假如我们用 \(k\) 种颜色对 \(X\) 的元素进行着色,设 \(C\) 是 \(X\) 的所有着色的集合,则 \(f\) 中保持不变的着色数为
$$
|C(f)| = k^{#(f)}
$$
置换的生成函数¶
设 \(f\) 是一个置换,\(f\) 的循环因子分解有 \(e_1\) 个 1 循环,\(e_2\) 个 2 循环,...,\(e_n\) 个 n 循环,则有:
称 \(n\) 元组 \((e_1,e_2,\cdots, e_n)\) 是置换 \(f\) 的类型,记为
循环数 \(\# (f) = e_1 + e_2 + \cdots + e_n\)
是否可以仅通过类型来区分置换?
引进 \(n\) 个未定元 \(z_1, z_2,\cdots, z_n\) ,\(z_k\) 对应 \(k\) 循环
- 定义 \(f\) 的单项式为 \(\text{mon}(f) = z_1^{e_1} z_2^{e_2} \cdots z_n^{e_n}\)
- \(G\) 是置换群,对 \(G\) 中每个置换 \(f\) 的单项式求和,得到置换的生成函数
- 定义 \(G\) 的
循环指数为 \(P_G(z_1, z_2, \cdots, z_n) = \frac{1}{|G|}\sum\limits_{f\in G}z_1^{e_1} z_2^{e_2} \cdots z_n^{e_n}\) - 例如,二面体群 \(D_4\) 的循环指数:

定理 设 \(X\) 是有 \(n\) 个元素的集合,假设我们用 \(k\) 种颜色对 \(X\) 的元素进行着色,\(C\) 是着色集合,\(G\) 是 \(X\) 的置换群,则非等价的着色数是用 \(z_i = k\) 代入 \(G\) 的循环指数中得到的值,即
问题: 各颜色只能使用特定次数的非等价着色数?
Pólya定理¶
假设只有红蓝两种颜色,\(C_{p,q}\) 表示有 \(p\) 个元素着红色,\(q = n-p\) 个元素着蓝色的着色集合
进一步,这类着色 (非等价着色) 的个数为下式中 \(r^pb^q\) 的系数
实际上就是对 \(f\) 的单项式做代换
Pólya定理 设 \(G\) 是 \(X\) 的置换群,\(\{u_1, u_2, \cdots, u_k\}\) 是 \(k\) 种颜色的集合,\(C\) 是 \(X\) 的任意着色集。这时针对个颜色的数目的 \(C\) 的非等价着色数的生成函数是
其中 \(u_1^{p_1} u_2^{p_2}\cdots u_k^{p_k}\) 的系数等于 \(C\) 中把 \(X\) 的 \(p_1\) 个元素着色成颜色 \(u_1\) ,\(p_2\) 个元素着色成颜色 \(u_2\),……,\(p_k\) 个元素着色成颜色 \(u_k\) 的非等价着色数
可以计算同构的图?!



