容斥原理¶
容斥原理¶
Lead in:
设 \(S\) 是对象的有限集合,\(P_1\) 和 \(P_2\) 是 \(S\) 中每个对象有或没有的两个性质,计数 \(S\) 中既不具有性质 \(P_1\) 也不具有性质 \(P_2\) 的对象个数?
Ans: 设 \(A_1\) 是 \(S\) 中具有性质 \(P_1\) 的对象组成的子集,\(A_2\) 是 \(S\) 中具有性质 \(P_2\) 的对象组成的子集。于是,\(\overline{A}_1\) 由 \(S\) 中不具有性质 \(P_1\) 的对象组成,\(\overline{A}_2\) 由 \(S\) 中不具有性质 \(P_2\) 的对象组成,集合 \(\overline{A}_1 \cap \overline{A}_2\) 就是目标集合,
$$
|\overline{A}_1 \cap \overline{A}_2| = |S| - |A_1| - |A_2| + |A_1 \cap A_2|
$$
定理 集合 \(S\) 中不具有性质 \(P_1, P_2, \cdots, P_m\) 的对象个数由下面的交错表达式给出:
$$
|\overline{A}_1 \cap \overline{A}_2 \cap \cdots \overline{A}_m| = |S| - \sum|A_i| + \sum|A_i \cap A_j| - \sum|A_i \cap A_j \cap A_k| \
+ \cdots + (-1)^m|A_1 \cap A_2 \cap \cdots \cap A_m|
$$
总的-多加上的+多减去的-多加上的+...
证明
- 设 \(x \in S\) 不具有任何一条性质,对右边的贡献是 \(1 - 0 + 0 - 0 + \cdots + (-1)^m 0 = 1\)
- 设 \(y \in S\) 恰含有 \(n \geqslant 1\) 条性质,
- 对 \(|S|\) 的贡献是 \(1 = \binom{n}{0}\)
- 对 \(\sum|A_i|\) 的贡献是 \(n = \binom{n}{1}\)
- 对 \(\sum|A_i \cap A_j|\) 的贡献是 \(\binom{n}{2}\)
- ...
- 所以,\(y\) 对右边的净贡献是 \(\binom{n}{0} - \binom{n}{1} + \binom{n}{2} - \cdots + (-1)^m\binom{n}{m}\),\(n \leqslant m\) ,所以表达式等于 \(0\)
推论 集合 \(S\) 中至少具有性质 \(P_1, P_2, \cdots, P_m\) 之一的对象个数为
$$
|A_1 \cup A_2 \cup \cdots \cup A_m| = \sum|A_i| - \sum|Ai \cap A_j| + \sum|A_i \cap A_j \cap A_k|\
- \cdots + (-1)^{m+1}|A_1 \cap A_2 \cap \cdots \cap A_m|
$$
用集合的运算就可以得到
带重复的组合¶
回顾,有 \(k\) 种不同对象且每种对象都有无限重的多重集的 \(r\) 组合数为 \(\binom{r + k - 1}{r}\) 。那如果不是无限重呢?如果有重数小于 \(r\) ?
Q: 确定多重集 \(T = \{3 \cdot a, 4 \cdot b, 5 \cdot c\}\) 的 10 组合的数目
把容斥原理应用到 \(T^{*} = \{\infty \cdot a, \infty \cdot b, \infty \cdot c\}\) 的所有10组合的集合 \(S\) 上
算 \(|A_1| \Rightarrow\) \(a\) 至少出现4次 \(\Rightarrow\) 先确定4个 \(a\) ,化为无限重多重集 (6重) 组合问题
错位排列¶
四位厨师各做了一道拿手菜,每人品尝一道菜,但不能尝自己做的那道,有多少种不同的尝法?
错位排列: 设 \(X = \{1, 2, \cdots, n\}\) ,它的排列用 \(i_1 i_2 \cdots i_n\) 表示,错位排列是使得 \(i_1 \neq 1, i_2\neq 2, \cdots, i_n \neq n\) 的排列。用 \(D_n\) 表示错位排列的个数 (\(D_n\) 是可以直接用的)
求解 \(D_n\) :
设 \(S\) 是全部排列 \(i_1 i_2 \cdots i_n\) 的集合,\(A_j\) 是 \(i_j = j\) 的排列集合,(注意: \(A_j\) 只定义了第 \(j\) 个位置)
$$ D_n = n!\space(1 - \frac{1}{1!} + \frac{1}{2!} - \frac{1}{3!} + \cdots + (-1)^n\frac{1}{n!}) $$ \(D_5 = 44, D_8 = 14833\)
考虑 \(\mathrm{e}^{-1}\) 的无穷级数展开: $$ \mathrm{e}^{-1} = 1 - \frac{1}{1!} + \frac{1}{2!} - \frac{1}{3!} + \frac{1}{4!} - \cdots $$
可以发现,\(\frac{D_n}{n!}\) 是非常接近 \(\mathrm{e}^{-1}\) 的
错位排列的递推关系¶
1. $$ D_n = (n-1)(D_{n-2} + D_{n-1}), \space n = 3, 4, \cdots $$ 初始值 \(D_2 = 1, D_1 = 0\)
组合推理证明: 第1个位置放 \(x\) ( \(x = 2, 3, \cdots\)) ,\(1\) 的位置分为恰好在 \(x\) 位和其他随机位置
2. $$ D_n = n D_{n-1} + (-1)^n $$ \(D_n\) 是偶数当且仅当 \(n\) 是奇数
此式通过上一个关系推得,它又可以推出 \(D_n\)
带有禁止位置的排列¶
是错位排列的扩展。令 \(X_1, X_2, \cdots, X_n\) 是 \(\{1, 2, \cdots, n\}\) 的子集 (可以是空集),\(P(X_1, X_2, \cdots, X_n)\) 表示 \(\{1, 2, \cdots, n\}\) 的排列 \(i_1 i_2 \cdots i_n\) 的集合,使得 $$ i_1 不在 X_1 内, i_2不在X_2内,\cdots, i_n不在X_n内 $$
非攻击型车¶
\(n\) 行 \(n\) 列棋盘非攻击型车的位置与 \(\{1,2,\cdots,n\}\) 的排列 \(i_1i_2 \cdots i_n\) 相对应,\((1,i_1)\) 为第1个位置,以此类推。
设 \(S\) 为 \(n\) 个非攻击型车在 \(n\) 行 \(n\) 列棋盘上所有放置方法的集合。如果第 \(j\) 行放置的车属于 \(X_j\) ,那么说这种放置满足性质 \(P_j\) 。\(A_j\) 为满足性质 \(P_j\) 的集合
\(\begin{aligned}|P(X_1,X_2, \cdots, X_n)|&=|\bar{A}_1\cap\bar{A}_2\cap\cdots\cap\bar{A}_n|\\ &=n!- \sum|A_i| + \sum|Ai \cap A_j| - \sum|A_i \cap A_j \cap A_k|+\cdots + (-1)^{n}|A_1 \cap A_2 \cap \cdots \cap A_n|\end{aligned}\)
我们现在需要求解这些和式,考虑 \(\sum|A_i|\) ,设 \(r_1 = |X_1|+|X_2|+\cdots+|X_n|\) (也即 \(r_1\) 是把一个车放到禁止位置的方法数),得到 \(\sum|A_i| = r_1(n-1)!\)
同理可以定义 \(r_k\) 为把 \(k\) 个非攻击型车放到棋盘上,每个车都在一个禁止位置上的方法数,于是 $$ \sum|A_{i_1}\cap A_{i_2}\cap\cdots\cap A_{i_k}| = r_k(n-k)! $$ 问题转化为求解 \(r_k\) ,一个解法是划分区域:
相对禁止位置¶
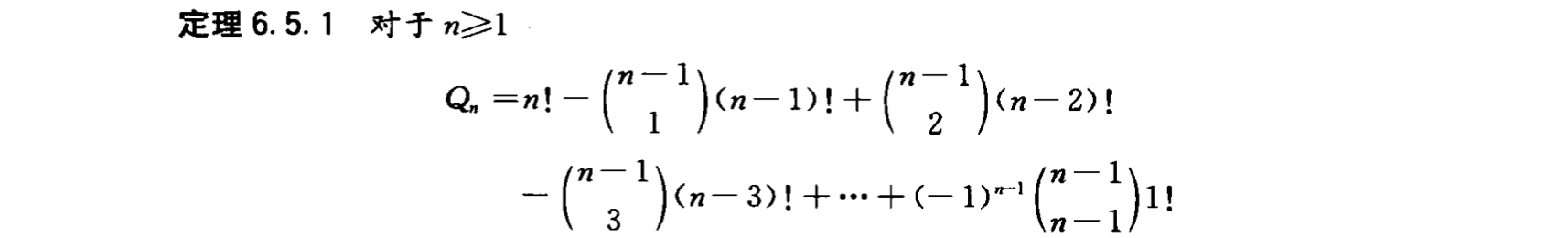
\(Q_n\) : \(\{1, 2, \cdots, n\}\) 的排列中没有 \(12, 23, \cdots, (n-1)n\) 这些模式的排列的个数
证明 设 \(S\) 为 \(\{1, 2, \cdots,n\}\) 的全部 \(n!\) 个排列的集合。设 \(P_j\) 是在一个排列中出现模式 \(j(j+1)\) 的性质。设 \(A_j\) 是具有性质 \(P_j\) 的集合。
计数 \(|A_1|\) : 我们把 12 看作一个整体,于是乎 \(|A_1| = (n-1)!\) ,依此类推
例题: 旋转木马*¶
\(|A_1| = 8 \times 6!\)
\(|A_1 \cap A_2| = 8 \times 6 \times 4!\)
\(|A_1 \cap A_2 \cap A_3| = 8 \times 6 \times 4 \times 2!\)
\(|A_1 \cap A_2 \cap A_3 \cap A_4| = 8 \times 6 \times 4 \times 2\)
如果座位都相同呢? 循环排列,\(|A_1| = 6!\)
- 固定 (1, 5),再排剩余的6人
- 或者全部除以 \(8\)
莫比乌斯反演*¶
这一节所涉及的数学比前面各节所涉及的都更加巧妙。——《组合数学》
TODO


