生成函数¶
前言:
维基百科上是这么定义生成函数/母函数的: \((a_n)_{n \in \mathbb{N}}\) 的母函数是一种形式幂级数,其每一项的系数可以提供关于这个序列的信息。
对于某个序列 \(a_0, a_1, \cdots, a_n\) ,我想找一个函数来表示它,假设是 \(G(x) = a_0 + a_1 x + a_2 x^2 + \cdots a_n x^n\)。这时候函数第 \(i\) 项的系数就表示了序列中的第 \(i\) 个元素。同时我们也可以看到,函数中的自变量 \(x\) 好像并没有什么意义,他的取值并不影响序列的表示,我们称这种函数为形式幂级数。
生成函数 (Generating function) 的幂级数的系数给出计数问题的解,还有,可以求解斐波那契数列的通项(梦回高一~)(见下文)
数列¶
圆区域¶
确定平面一般位置上的 \(n\) 个互相交叠的圆所形成的区域数,其中
- 互相交叠是指每两个圆相交在不同的两个点上
- 一般位置是指不存在有一个公共点的三个圆
用 \(h_n\) 表示平面一般位置上的 \(n\) 个互相交叠的圆所形成的区域数,则
\(h_0 = 1, h_1 = 2, h_2 = 4, \cdots\)
递推关系 (\(n\geqslant 2\)): 第 \(n\) 个圆与前 \(n-1\) 个圆相交于 \(2(n-1)\) 个交点,形成第 \(n\) 个圆上的 \(2(n-1)\) 条弧
- 每条弧把穿过的区域一分为二
- 增加了 \(2(n-1)\) 个区域
因此,递推关系为 \(h_n = h_{n-1} + 2 (n-1), n\geqslant 2\)
斐波那契数列¶
Fibonacci 数列:
设有数列 \(f_0, f_1, f_2,\cdots, f_n, \cdots\),如果 \(f_0=0, f1=1\),且满足递推关系
称该数列为斐波那契数列。
Fibonacci数满足:
生成函数¶
一个例子: 设 \(k\) 为整数,并设数列 \(h_0, h_1, h_2, \cdots, h_n, \cdots\) ,又令 \(h_n\) 等于 \(e_1 + e_2 + \cdots + e_k = n\) 的非负整数解的数目,则
它的生成函数为
第二个等号:
- Taylor展开:
\(\begin{aligned}(1 - x)^{-k} = \sum\limits_{n=0}^{\infty} \binom{-k}{n}(-x)^n\end{aligned}\)
- 广义二项式系数的定义:
\(\begin{aligned}\binom{\alpha}{n} = \frac{\alpha(\alpha - 1)\cdots(\alpha - n + 1)}{n!}\end{aligned}\)
- 所以有:
\(\begin{aligned}\binom{-k}{n} = \frac{(-k)(-k-1)\cdots(-k - n + 1)}{n!} = (-1)^n \cdot \frac{k (k + 1) \cdots (k + n - 1)}{n!} = (-1)^n \binom{n + k - 1}{n}\end{aligned}\)
我们用另一种方式思考第二个等号:
\(x^{e_1}\) 是第一个因子的代表项,\(x^{e_2}\) 是第二个因子的代表项,……,将这些代表项相乘,得到 \(x^n\) ,且有 \(x^n\) 的系数等于 \(e_1+e_2+ \cdots + e_k = n\) 的非负整数解的个数
给我们的启示:
对于有限项多项式,可以用OO第一单元表达式化简的程序来展开括号 (神奇的重逢😉)
指数生成函数¶
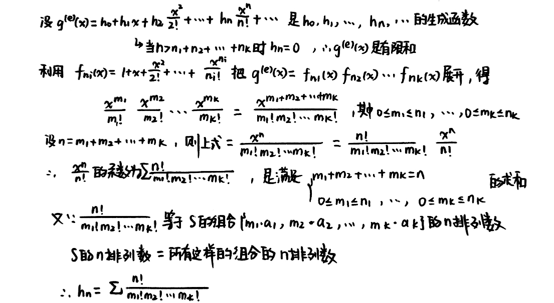
关于单项式集合 \(\{1,x,\frac{x^2}{2!},\cdots,\frac{x^n}{n!},\cdots\}\) 的生成函数称为指数生成函数。数列 \(h_0, h_1, \cdots, h_n, \cdots\) 的指数生成函数定义为
例子: 数列 \(1, 1, \cdots, 1, \cdots\) 的指数生成函数是 \(g^{(e)}(x) = \sum\limits_{n=0}^{\infty}\frac{x^n}{n!} = e^x\)
多重集的排列¶
生成函数可以求解多重集的组合问题,而指数生成函数则和多重集的排列相关
定理 设 \(S\) 是多重集合 \(\{n_1 \cdot a_1, n_2 \cdot a_2, \cdots, n_k \cdot a_k\}\),其中 \(n_1, n_2, \cdots, n_k\) 是非负整数。设 \(h_n\) 是 \(S\) 的 \(n\) 排列数,那么数列 \(h_0, h_1, \cdots, h_n, \cdots\) 的指数生成函数由下式给出:
$$
g^{(e)}(x) = f_{n_1}(x) f_{n_2}(x) \cdots f_{n_k}(x)
$$
其中,对于 \(i = 1, 2, \cdots, k\) ,有
$$
f_{n_i}(x) = 1 + x + \frac{x^2}{2!} + \cdots + \frac{x^{n_i}}{n_i!}
$$
证明
证明的思路是: 先取多重集的组合,再求组内全排列
利用这个定理,可以算带有限制的多重集排列问题。
一个简洁的 \(h_n\) 的公式暗示有可能存在求解这个问题的更直接的方法。
求解线性齐次递推关系¶
线性递推关系¶
设 \(h_0, h_1, \cdots, h_n, \cdots\) 是一个数列,称这个数列满足 \(k\) 阶线性递推关系是指存在 \(a_1, a_2, \cdots, a_k(a_k \neq 0)\) 和 \(b_n\) (\(a_1, \cdots, a_k, b_n\) 都可能依赖于 \(n\)),使得 $$ h_n = a_1h_{n-1}+a_2h_{n-2}+\cdots + a_kh_{n-k}+b_n \space (n \geqslant k) $$ 如果 \(b_n=0\) ,我们称线性递推关系是齐次的 (homogeneous)
如果 \(a_1, a_2, \cdots, a_k\) 是常数,则称线性递推关系是常系数的 (constant coefficient)
本章讨论求解常系数线性齐次递推关系的方法,主要有两种方法:
- 特征方程法: 注意特征方程有重根的情况
- 生成函数法: 常常要使用部分分式法
特征方程法¶
多项式方程 7.30 称为递推关系的特征方程 (characteristic equation) ,它的 \(k\) 个根称为特征根 (characteristic root)
现证明 7.31 在 \(q_1, q_2, \cdots, q_k\) 不同的时候,是定理 7.29 的通解:
有重根的情况¶
例子: 求递推关系 \(h_n-4h_{n-1}+4h_{n-2}=0\space(n\geqslant2)\) 的通解
解: 易得 \(h_n=2^n\) 是一个解,下证 \(h_n=n2^n\) 也是一个解 $$ \begin{aligned}h_n-4h_{n-1}+4h_{n-2}&=n2{n}-4(n-1)2+4(n-2)2{n-2}\&=n2n-2n2{n-1}+2+n2n-2 $$ 更一般地,如果 }=0\end{aligned\(q\) (可能是复数) 是常系线性齐次递推关系的特征方程的 \(s\) 重根,那么可以证明 $$ h_n=q^n, h_n=nq^n, h_n=n2qn\cdots, h_n=n{s-1}qn $$ 每一个都是特征方程的解
生成函数法¶
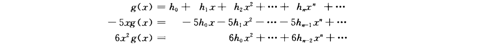
例子: 求解递推关系 $$ h_n = 5h_{n-1} - 6 h_{n-2} \space (n \geqslant 2) $$ 初始条件是 \(h_0=1, h_1=2\)
解: 我们把递推关系写成 \(h_n - 5h_{n-1} + 6h_{n-2} = 0\)
设 \(g(x)\) 是 \(\{h_n\}\) 的生成函数,并且我们分别用 \(-5x\) 和 \(6x^2\) 乘以 \(g(x)\) ,得
把3个方程加起来,得到 $$ (1-5x+6x^2)g(x)=h_0+h_1x-5h_0x=1-7x $$ 后面的项全部消掉
神奇!
常系数非齐次线性递推关系¶
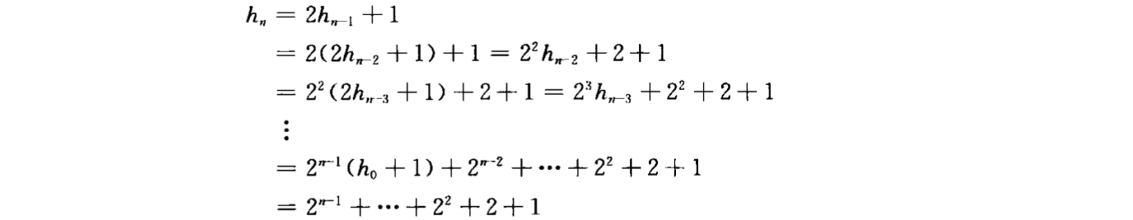
例子 (汉诺塔问题): \(h_n\) 是转移 \(n\) 个圆盘所需移动次数,有 \(h_0=0,h_1=1,h_2=3\) ,且有递推关系: $$ h_n=2h_{n-1}+1 $$ 解法1 (直接递推) :
解法2 (生成函数) : 设 \(g(x) = \sum\limits_{n=0}^{\infty}h_nx^n\) $$ \begin{aligned} g(x)&=h_0+h_1x+h_2x^2+\cdots + h_nx^n\ -2xg(x)&=-2h_0x-2h_1x2-2h_2x3-\cdots-2h_nx^{n+1} \end{aligned} $$ 两式相加,得 $$ (1-2x)g(x)=x+x2+\cdots+xn+\cdots = \frac{x}{1-x} $$ 解法3 (类似微分方程) : 先求 \(h_n=2h_{n-1}\) 的通解,为 \(h_n=c2^n\);再求 \(h_n=2h_{n-1}+1\) 的特解,设为 \(h_n=k\) ,则 \(k=2k+1\)。最后通解+特解
特解的形式:








