方差分析及回归分析¶
在化工生产中,原料成分、原料剂量、催化剂、反应温度等因素都有可能影响产品质量,有些因素影响较大,有些较小。我们想找出对产品质量有显著影响的那些因素。方差分析就是根据试验的结果进行分析,鉴别各个因素对试验结果影响的有效方法。
产品质量就是我们要考察的 试验指标,催化剂等影响试验指标的条件称为 因素。试验中只有一个因素在改变称为 单因素试验,多于一个因素在改变称为 多因素试验。比如试验中改变催化剂的种类,进行多次测量分析,就是单因素试验。如果测得产品质量有显著差异,则说明催化剂对生产的影响是显著的。
单因素试验的方差分析¶
单因素试验¶
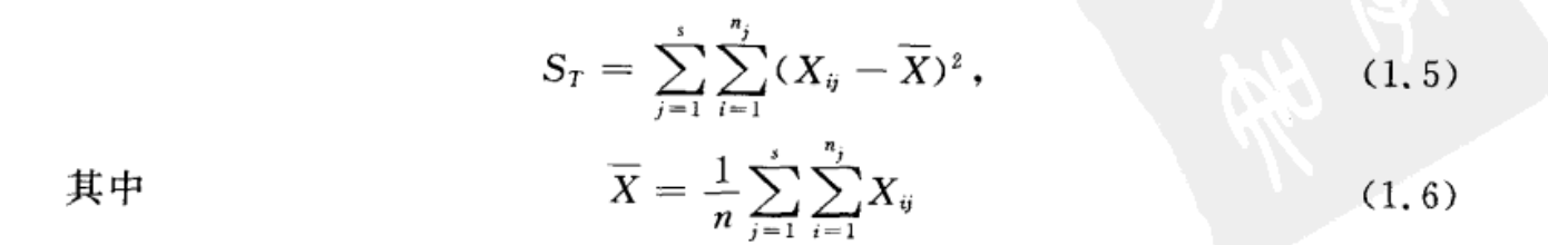
我们记 \(n = \sum\limits_{j=1}^{s}n_j\),总平均 \(\mu = \frac{1}{n}\sum\limits_{j=1}^{s}n_j\mu_j\)
数学模型:
方差分析的目的:
引入效应:
\(\delta_j = \mu_j - \mu\),则 \(n_1 \delta_1 + n_2 \delta_2 + \cdots + n_s \delta_s = 0\)
改写模型与假设:
平方和分解¶
现在我们寻找统计量
引入总偏差平方和/总变差 \(S_T\):
水平 \(A_j\) 下的样本均值为 \(\overline{X}_{\cdot j}\)
得 \(S_T=S_E + S_A\)
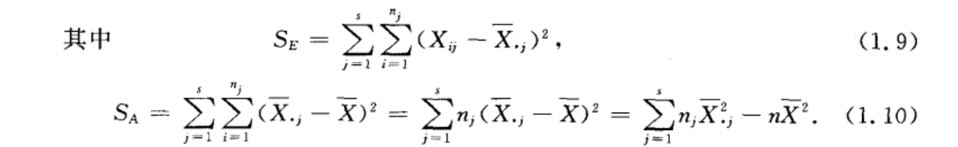
\(S_E\) 是在水平 \(A_j\) 内的差异,称作 误差平方和 ,\(S_A\) 是水平 \(A_j\) 与总体的差异,称作 效应平方和
\(S_E\) 和 \(S_A\) 的统计特性¶
\(S_E\):
\(S_A\):
进一步可证 \(S_A\) 与 \(S_E\) 独立,且当 \(H_0\) 为真时:
拒绝域¶
当 \(H_0\) 为真时:
方差分析表:
计算 \(S_E, S_A\):
\(S_T = \sum\limits_{j=1}^{s}\sum\limits_{i=1}^{n_j}(X_{ij}-\bar{X})^2 = \sum\limits_{j=1}^{s}\sum\limits_{i=1}^{n_j}X_{ij}^2 - n \bar{X}^2\)
\(S_A = \sum\limits_{j=1}^{s}n_j\overline{X}_{\cdot j}-n\overline{X}^2\)
\(S_E = S_T - S_A\)
双因素试验的方差分析¶
因素 \(A\) 有 \(r\) 个水平,因素 \(B\) 有 \(s\) 个水平,对因素 \(A,B\) 的每个组合都做 \(t\) 次试验
一元线性回归
多元线性回归
To be continued...













